Info
This site is generated using the static site generator developed by the Typst Community. Please adjust the text content of this banner according to your usage requirements. At Typst GmbH's request, when publishing documentation, you must clearly indicate that it is non-official and display the version of Typst being documented. For details, refer to Issue #874 on typst/typst.

Math

Typst has special syntax and library functions to typeset mathematical formulas. Math formulas can be displayed inline with text or as separate blocks. They will be typeset into their own block if they start and end with at least one space (e.g. $ x^2 $).

Variables

In math, single letters are always displayed as is. Multiple letters, however, are interpreted as variables and functions. To display multiple letters verbatim, you can place them into quotes and to access single letter variables, you can use the hash syntax.

$ A = pi r^2 $
$ "area" = pi dot "radius"^2 $
$ cal(A) :=
    { x in RR | x "is natural" } $
#let x = 5
$ #x < 17 $
Preview

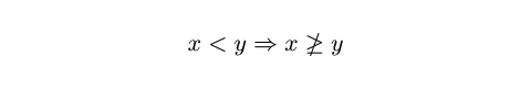
Symbols

Math mode makes a wide selection of symbols like pi, dot, or RR available. Many mathematical symbols are available in different variants. You can select between different variants by applying modifiers to the symbol. Typst further recognizes a number of shorthand sequences like => that approximate a symbol. When such a shorthand exists, the symbol's documentation lists it.

$ x < y => x gt.eq.not y $
Preview

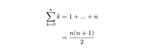
Line Breaks

Formulas can also contain line breaks. Each line can contain one or multiple alignment points (&) which are then aligned.

$ sum_(k=0)^n k
    &= 1 + ... + n \
    &= (n(n+1)) / 2 $
Preview

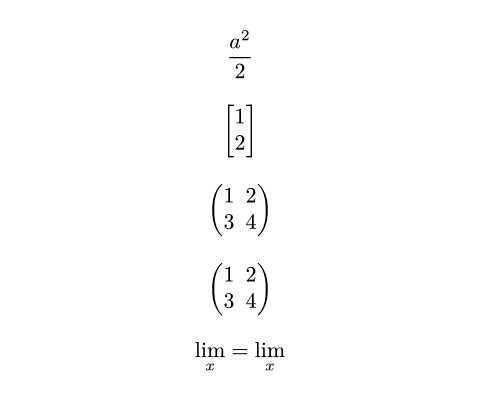
Function calls

Math mode supports special function calls without the hash prefix. In these "math calls", the argument list works a little differently than in code:

  • Within them, Typst is still in "math mode". Thus, you can write math directly into them, but need to use hash syntax to pass code expressions (except for strings, which are available in the math syntax).
  • They support positional and named arguments, as well as argument spreading.
  • They don't support trailing content blocks.
  • They provide additional syntax for 2-dimensional argument lists. The semicolon (;) merges preceding arguments separated by commas into an array argument.
$ frac(a^2, 2) $
$ vec(1, 2, delim: "[") $
$ mat(1, 2; 3, 4) $
$ mat(..#range(1, 5).chunks(2)) $
$ lim_x =
    op("lim", limits: #true)_x $
Preview

To write a verbatim comma or semicolon in a math call, escape it with a backslash. The colon on the other hand is only recognized in a special way if directly preceded by an identifier, so to display it verbatim in those cases, you can just insert a space before it.

Functions calls preceded by a hash are normal code function calls and not affected by these rules.

Alignment

When equations include multiple alignment points (&), this creates blocks of alternatingly right- and left-aligned columns. In the example below, the expression (3x + y) / 7 is right-aligned and = 9 is left-aligned. The word "given" is also left-aligned because && creates two alignment points in a row, alternating the alignment twice. & & and && behave exactly the same way. Meanwhile, "multiply by 7" is right-aligned because just one & precedes it. Each alignment point simply alternates between right-aligned/left-aligned.

$ (3x + y) / 7 &= 9 && "given" \
  3x + y &= 63 & "multiply by 7" \
  3x &= 63 - y && "subtract y" \
  x &= 21 - y/3 & "divide by 3" $
Preview

Math fonts

You can set the math font by with a show-set rule as demonstrated below. Note that only special OpenType math fonts are suitable for typesetting maths.

#show math.equation: set text(font: "Fira Math")
$ sum_(i in NN) 1 + i $
Preview

Math module

All math functions are part of the math module, which is available by default in equations. Outside of equations, they can be accessed with the math. prefix.

Accessibility

To make math accessible, you must provide alternative descriptions of equations in natural language using the alt parameter of math.equation. For more information, see the Textual Representations section of the Accessibility Guide.

#math.equation(
  alt: "d S equals delta q divided by T",
  block: true,
  $ dif S = (delta q) / T $,
)
Preview

In the future, Typst will automatically make equations without alternative descriptions accessible in HTML and PDF 2.0 export.

Definitions

  • Attaches an accent to a base.
  • Subscript, superscripts, and limits.
  • A binomial expression.
  • Displays a diagonal line over a part of an equation.
  • A case distinction.
  • Forced use of a certain math class.
  • A mathematical equation.
  • A mathematical fraction.
  • Delimiter matching.
  • A matrix.
  • A text operator in an equation.
  • Grouped primes.
  • Square and non-square roots.
  • Forced size styles for expressions within formulas.
  • Stretches a glyph.
  • Alternate letterforms within formulas.
  • Delimiters above or below parts of an equation.
  • Alternate typefaces within formulas.
  • A column vector.
Open official docs

Search