未翻訳
このページはまだ翻訳されていません。原文の内容が表示されています。
cases要素関数要素関数要素関数はsetルールやshowルールでカスタマイズできます。
要素関数
要素関数は
setルールやshowルールでカスタマイズできます。場合分け。
&記号を用いると異なる分岐に属するコンテンツを整列できます。
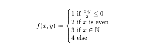
例
$ f(x, y) := cases(
1 "if" (x dot y)/2 <= 0,
2 "if" x "is even",
3 "if" x in NN,
4 "else",
) $

引数引数引数は関数への入力値です。関数名の後に括弧で囲んで指定します。
引数
引数は関数への入力値です。関数名の後に括弧で囲んで指定します。
math.cases(,,gap:,)->使用する区切り文字。
単一の文字で左区切り文字を指定する場合、右区切り文字は自動的に推論されます。 それ以外の場合は、左区切り文字と右区切り文字を含む配列を指定します。
例を表示
#set math.cases(delim: "[")
$ x = cases(1, 2) $

デフォルト値:("{", "}")
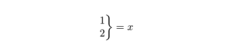
reverse設定可能引数設定可能引数設定可能引数は、setルールを用いて設定でき、それ以降で使用するデフォルト値を変更できます。
reverse設定可能引数
設定可能引数
設定可能引数は、
setルールを用いて設定でき、それ以降で使用するデフォルト値を変更できます。場合分けの向きを反転させるかどうか。
例を表示
#set math.cases(reverse: true)
$ cases(1, 2) = x $

デフォルト値:false
gap設定可能引数設定可能引数設定可能引数は、setルールを用いて設定でき、それ以降で使用するデフォルト値を変更できます。
gap設定可能引数
設定可能引数
設定可能引数は、
setルールを用いて設定でき、それ以降で使用するデフォルト値を変更できます。分岐間の間隔。
例を表示
#set math.cases(gap: 1em)
$ x = cases(1, 2) $

デフォルト値:0% + 0.2em
children必須引数必須引数必須引数は、関数を呼び出す際に必ず指定しなければなりません。位置引数位置引数位置引数は順序通りに指定することで、引数名を省略して設定できます。可変長引数可変長引数可変長引数は複数回指定することができます。
children必須引数
必須引数
必須引数は、関数を呼び出す際に必ず指定しなければなりません。
位置引数
位置引数
位置引数は順序通りに指定することで、引数名を省略して設定できます。
可変長引数
可変長引数
可変長引数は複数回指定することができます。
場合分けの各分岐を表す子要素。