未翻訳
このページはまだ翻訳されていません。原文の内容が表示されています。
equation要素関数要素関数要素関数はsetルールやshowルールでカスタマイズできます。
要素関数
要素関数は
setルールやshowルールでカスタマイズできます。数式。
数式は、テキスト内にインラインで表示することも、独立したブロックとして表示することもできます。 数式をブロックレベルにするには、 開始ドル記号の直後と終了ドル記号の直前に少なくとも1つのスペースを挿入してください。
例
#set text(font: "New Computer Modern")
Let $a$, $b$, and $c$ be the side
lengths of right-angled triangle.
Then, we know that:
$ a^2 + b^2 = c^2 $
Prove by induction:
$ sum_(k=1)^n k = (n(n+1)) / 2 $

デフォルトでは、ブロックレベルの数式はページをまたいで分割されません。
これはshow math.equation: set block(breakable: true)を使用して変更できます。
構文
この関数には専用の構文もあります。 数式のマークアップをドル記号で囲むことで、数式を作成します。 式の先頭と末尾にそれぞれ少なくとも1つのスペースを挿入すると、 数式は独立したブロックとして扱われ、水平中央に配置されます。 数式の構文の詳細については、数式のメインページを参照してください。
引数引数引数は関数への入力値です。関数名の後に括弧で囲んで指定します。
引数
引数は関数への入力値です。関数名の後に括弧で囲んで指定します。
math.equation(,,,,)->block設定可能引数設定可能引数設定可能引数は、setルールを用いて設定でき、それ以降で使用するデフォルト値を変更できます。
block設定可能引数
設定可能引数
設定可能引数は、
setルールを用いて設定でき、それ以降で使用するデフォルト値を変更できます。数式が独立したブロックとして表示されるかどうか。
デフォルト値:false
ブロックレベル数式への番号付け方法。
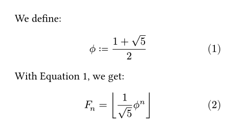
例を表示
#set math.equation(numbering: "(1)")
We define:
$ phi.alt := (1 + sqrt(5)) / 2 $ <ratio>
With @ratio, we get:
$ F_n = floor(1 / sqrt(5) phi.alt^n) $

デフォルト値:none
number-align設定可能引数設定可能引数設定可能引数は、setルールを用いて設定でき、それ以降で使用するデフォルト値を変更できます。
number-align設定可能引数
設定可能引数
設定可能引数は、
setルールを用いて設定でき、それ以降で使用するデフォルト値を変更できます。数式番号の配置。
デフォルトでは、数式の配置はend + horizonです。
水平方向の成分にはright、left、
またはテキスト方向のstartとendを使用できます。
垂直方向の成分には、top、horizon、またはbottomを使用できます。
例を表示
#set math.equation(numbering: "(1)", number-align: bottom)
We can calculate:
$ E &= sqrt(m_0^2 + p^2) \
&approx 125 "GeV" $

デフォルト値:end + horizon
数式に用いる補足語。
見出しを参照する際、補足語が参照番号の前に追加されます。
関数を指定した場合、参照された数式が引数として渡され、 その関数は表示されるコンテンツを返す必要があります。
例を表示
#set math.equation(numbering: "(1)", supplement: [Eq.])
We define:
$ phi.alt := (1 + sqrt(5)) / 2 $ <ratio>
With @ratio, we get:
$ F_n = floor(1 / sqrt(5) phi.alt^n) $

デフォルト値:auto
body
body数式のコンテンツ。